Diet composition significantly affected BSFL biomass gain, with the highest final weights in larvae fed the diets with the highest levels of protein and lipids

The larvae of the black soldier fly (Hermetia illucens), BSFL, are a sustainable solution for aquafeeds, addressing the urgent need for alternative protein sources as global aquaculture expands. Traditional protein ingredients such as fishmeal and soybean meal have raised environmental and economic concerns, prompting the exploration of alternative feed solutions. A key advantage of BSFL is that they can be fed a variety of organic waste that would otherwise be disposed of in landfills or incinerators, and the result is the generation of three sustainable and organic products (meal, oil and frass) that can be used in aquaculture feed formulations.
BSFL meal, oil and frass have been tested in various aquaculture species with promising results. Black soldier fly larvae meal has been studied in species like rainbow trout, African and channel catfish, tilapia, shrimp and others, with inclusion levels ranging from 10 to 50 percent. At moderate levels (15 to 30 percent), it generally supported good growth, feed conversion ratios (FCR) and survival, although higher levels (e.g., >30 percent) could reduce performance in carnivorous species due to lower palatability or imbalanced amino acid profiles.
BSFL oil has been tested in species such as rainbow trout and tilapia, with inclusion levels of 3–10 percent, showing positive effects on growth, immunity and overall health due to its antimicrobial lauric acid content, though excessive levels could alter lipid metabolism. BSFL frass has been incorporated into diets for shrimp, catfish, and tilapia at levels of 10–30 percent, with results indicating improved gut health and potential disease resistance, but higher inclusion levels may reduce feed efficiency due to its lower digestibility compared to conventional feed ingredients.
Overall, black soldier fly larvae products show great potential as sustainable alternatives in aquaculture feed when used at optimal inclusion levels. Black soldier fly larvae offer a way to transform and valorize the organic waste chain if efficiently optimized.
Considering the relatively high cost of BSFL meal and oil, along with their comparable nutritional composition to conventional protein and lipid sources, this research proposes the role of full-fat BSFL meal as a functional feed additive rather than a primary dietary ingredient. The ability of BSFL to upcycle organic waste into a nutrient-rich product while accumulating beneficial bioactive compounds supports its inclusion in aquafeeds to enhance fish health and overall sustainability.
This article – summarized from the original publication (Camperio, J. et al. 2025. Valorizing Organic Waste Through Black Soldier Fly Larvae (Hermetia illucens): A Sustainable Solution for Aquafeeds with Key Nutrients and Natural Bioactive Polyphenols. Sustainability 2025, 17(5), 1788) – presents the results of a study that investigated how different organic waste-derived diets influence BSFL growth, Feed Conversion Ratio (FCR), Protein Efficiency Ratio (PER) and nutrient composition, with a specific focus on Total Polyphenol Concentration (TPC).
Fly guys: Canada opens the door for insect-based feed companies
Total Polyphenol Concentration (TPC) is of particular interest due to the beneficial effects of antioxidant polyphenols on animal health. Oxidative stress occurs when there is an imbalance between the production of free radicals and the body’s ability to counteract them with antioxidants. While reactive oxygen species (ROS) play a crucial role in normal physiological functions, excessive ROS levels can cause oxidative damage to biomolecules. This includes harmful effects on cellular DNA and proteins, as well as lipid peroxidation in cell membranes, ultimately compromising cell function. In addition to mitigating oxidative stress, polyphenols have been linked to anti-inflammatory properties, immune system support, improved gut health, and stress reduction.
This study was funded by the Aquaculture Review Council of the Florida Department of Agriculture and Consumer Services, and The Miami Foundation.

Study setup
The study evaluated five different feeds composed of organic waste from various commercial sectors: Kitchen Waste (KW), Agricultural Waste (AW), Aquaculture Sludge (AS), Aquaculture Offal (AO), and a Mix (MX) containing equal portions of KW, AW, AS, and AO. BSFL were reared in a controlled enclosure with a temperature of 27.1 degrees-C and humidity of 76.4 percent.
Five-day-old larvae were placed into experimental containers with their respective diets. Each container, sealed with a tight-fitting lid and equipped with small holes covered with a screen for airflow and escapee prevention, served as a replicate. There were five dietary treatments, each with four replicates, and every replicate contained 200 larvae, 60 g of Hydrated Coconut Coir (HCC), and a feed amount equivalent to 500 percent of the larval biomass in the container.
Biomass quantification, feeding, and HCC replacement occurred on Day 0 and every three days until Day 15, when the experiment concluded; no feeding or substrate replacement was conducted on Day 15. Total polyphenol content was calculated based on a standard curve generated with gallic acid and expressed as mg of gallic acid equivalents (GAE) per 100 g of sample. Larvae were separated from the HCC using a sieve.
For detailed information on the experimental design, dietary treatments, data collection and analyses, refer to the original publication.
Results and discussion
All feed treatments supported larval growth, with the highest final biomass observed in the MX and AO treatments, which were not significantly different from each other but were both significantly higher than AS, AW, and KW. Larval survival rates exceeded 93 percent across all treatments, with no significant differences among groups, indicating that all feed sources provided suitable conditions for larval viability. Feed type had a notable impact on feed efficiency and bioconversion, with MX achieving the lowest FCR and the highest bioconversion, making it the most efficient feed treatment overall. The AS and AO treatments showed intermediate FCR values, while AW and KW exhibited the highest FCR, indicating lower feed utilization efficiency. PER was highest in AW, suggesting superior protein utilization, while MX followed as the second highest, with all other treatments showing significantly lower values.

The nutrient composition of the larvae varied depending on the feed treatment. Nutrient composition analysis revealed substantial variations in protein, lipid, amino acid, and fatty acid profiles across treatments, directly influenced by the nutritional quality of the feed. Crude protein was highest in KW (56.5 percent) and lowest in AW (31.6 percent), crude lipid was highest in MX (47.9 percent) and lowest in KW (10.8 percent), while gross energy was greatest in AO (28.8 percent) and lowest in KW (21.0 percent). The amino acid profile also varied, with the total amino acids (TAA) highest in KW (68.9 percent) and lowest in AW (31.9 percent). Essential amino acids (IAA) and dispensable amino acids (DAA) followed a similar pattern, with KW having the highest concentrations and AW the lowest. The fatty acid composition showed notable differences, with omega-3 fatty acids being most abundant in MX, while KW had the lowest levels. EPA and DHA were also highest in MX and nearly undetectable in KW and AW.
Interestingly, KW larvae exhibited the highest crude protein content despite KW feed having one of the lowest protein levels, suggesting efficient protein accumulation from plant-based substrates. This trend was consistent with previous studies indicating that BSFL can effectively convert plant waste into proteins. In contrast, lipid accumulation was highest in larvae fed MX and AO, reflecting the high lipid content of these feeds, although a potential saturation point for lipid deposition was observed. Additionally, larvae fed AO and MX exhibited higher levels of omega-3 fatty acids, EPA, and DHA than other treatments, but these levels plateaued despite the presence of additional fatty acids in the feed, suggesting a physiological limit to omega-3 accumulation.
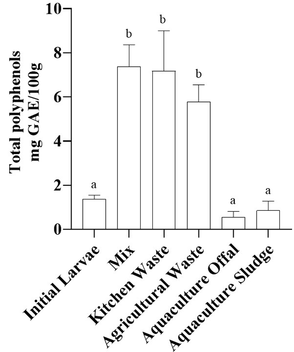
Total Polyphenol Concentration (TPC) varied significantly among treatments, reflecting the influence of feed composition on bioactive compound accumulation in the larvae. The highest TPC values were observed in MX, KW, and AW – in larvae fed plant-based diets, which aligns with the natural abundance of polyphenols in fruits and vegetables – and with no significant differences among them, suggesting that these feeds contributed to a higher polyphenol content in the larvae.
In contrast, AS and AO had the lowest TPC, as these substrates lacked plant-derived antioxidants, and with no significant differences between them, indicating limited polyphenol accumulation from these feed sources. These findings highlight how different waste-based feeds influence not only growth and efficiency but also the nutritional and bioactive composition of BSFL.

Considering that KW and AW were 100 percent plant-based while MX was 50 percent animal and 50 percent plant-based, and that MX had the highest yet not statistically different TPC to KW and AW, it is possible that BSFL have an upper limit of polyphenol saturation of 5.8–7.4 mg GAE/ 100g. This result suggests a potential upper threshold for polyphenol accumulation in BSFL, similar to nutrient saturation observed for protein and lipids.
Feed conversion ratio (FCR) was highest in KW and AW, indicating that these feeds were the least efficient at being converted into larval biomass. In contrast, MX, AS, and AO had the lowest FCR values, reflecting a greater proportion of feed being utilized for biomass accumulation. Similarly, bioconversion was highest in MX, AS, and AO, demonstrating the larvae’s ability to efficiently transform these nutrient-rich feeds into body mass. Conversely, KW and AW had the lowest bioconversion rates, which, along with their high FCR values, suggests that their lower protein and lipid content or high moisture levels may have reduced nutrient availability and digestibility.
This study examined how different organic waste-derived feeds influence the growth, survival, Feed Conversion Ratio (FCR), bioconversion, and nutrient composition of H. illucens larvae over a 15-day period. The results demonstrated that diet composition significantly affected larval biomass gain, with the highest final weights observed in larvae fed MX and AO, which contained high levels of proteins and lipids. These findings align with previous research showing that nutrient-dense diets promote larval growth and biomass accumulation. In contrast, plant-based diets such as KW and AW resulted in significantly lower larval weights, likely due to their lower nutrient density and higher moisture content, which could have reduced nutrient availability and digestibility.
Conclusion
This study underscores the transformative potential of Hermetia illucens larvae in converting organic waste into high-value products for aquafeeds. By efficiently converting diverse waste streams into nutrient-rich biomass, BSFL contribute to sustainable waste management while producing feed ingredients or additives with distinct nutritional and functional properties. Beyond serving as a protein source, BSFL meal should be recognized as a functional feed additive, offering bioactive compounds such as polyphenols that can support antioxidation, immune function and gut health in aquaculture species. With a TPC value ranging from 5.8–7.4 mg GAE per 100 grams, BSFLM could enhance feed quality and fish health instead of serving as a direct replacement for traditional proteins, reinforcing its value as a sustainable functional ingredient in aquafeed formulations.
Now that you've reached the end of the article ...
… please consider supporting GSA’s mission to advance responsible seafood practices through education, advocacy and third-party assurances. The Advocate aims to document the evolution of responsible seafood practices and share the expansive knowledge of our vast network of contributors.
By becoming a Global Seafood Alliance member, you’re ensuring that all of the pre-competitive work we do through member benefits, resources and events can continue. Individual membership costs just $50 a year.
Not a GSA member? Join us.
Authors
-
Julio Camperio
Corresponding author
Rosenstiel School of Marine, Atmospheric, and Earth Science, University of Miami, Miami, FL 33136 USA[117,100,101,46,105,109,97,105,109,46,104,116,114,97,101,64,111,105,114,101,112,109,97,99,106]
-
Jorge A. Suarez
Rosenstiel School of Marine, Atmospheric, and Earth Science, University of Miami, Miami, FL 33136 USA
-
Justin Simonton
Rosenstiel School of Marine, Atmospheric, and Earth Science, University of Miami, Miami, FL 33136 USA
-
Eli Paresky
Rosenstiel School of Marine, Atmospheric, and Earth Science, University of Miami, Miami, FL 33136 USA
-
Jorge Parodi
Sociedad Laboratorio, Investigación y Educación Chavez-Parodi Limitada, Tonalli Ltda, Temuco 4780000, Chile
-
Prof. Daniel Benetti
Rosenstiel School of Marine, Atmospheric, and Earth Science, University of Miami, Miami, FL 33136 USA
Related Posts
Aquafeeds
Black soldier fly larvae meal cost-effectively replaces fishmeal in Pacific white shrimp postlarvae nursery diets
Black soldier fly larvae meal can effectively replace fishmeal in shrimp diets if nutrient balance and price sensitivity are properly considered.
Aquafeeds
Fillet quality and sensory characteristics of Atlantic salmon fed black soldier fly larvae meal
Study shows diets with black soldier fly larvae meal did not affect general fillet parameters compared to salmon fed a commercial diet.
Aquafeeds
Point: There are no essential ingredients in aquaculture feeds
Kevin Fitzsimmons, leader of the F3 (fish-free feed) Challenge, says aquaculture may currently depend on fishmeal and fish oil, but farmed fish do not.
Aquafeeds
Counterpoint: Marine ingredients are stable in volume, strategic in aquaculture nutrition
IFFO Director General Petter M. Johannessen says fishmeal and fish oil offer unmatched nutrition and benefits to fuel aquaculture’s growth trajectory.
